Systemic advantages of ranged attacks
System-agnostic combat encounter analysis
One of the common sources of articles about tabletop RPGs is advice on “building characters”: how to pick various options during character creation in order to increase your effectiveness at combat or exploration, and how to avoid falling into various traps.
Most of this advice is going to be specific to a particular RPG system, and so of little interest to those who do not play it. But there are some patterns which seem to consistently arise across many different systems. Today I will be taking a crack at one of these patterns - the properties of basic combat attacks, and why ranged approaches tend to have inherent advantages.
As usual, if you are confused about any terms, make sure to check out the glossary, and if you are looking for other posts, check out the blog map.
1. General assumptions of RPG combat
Before we start talking about the range of attacks, we have to specify our assumptions. I believe these assumptions are commonly made by TTRPG system designers, and will tend to advantage ranged attacks over melee ones.
First assumption is that combat happens in earth-like circumstances. This is a host of general assumptions about what the combatants can do - for example, that they are affected by gravity, that they have a maximum movement speed, that in order to get into a melee confrontation with another person you have to cross the intervening space, that you can leave a building into the surrounding space, and so on.
Second assumption is that ranged attacks can be made at significantly greater distance than melee ones (at least by a factor of 5). I am referring here to the maximum distance at which an attack can still be effective: for example, the range of a pistol may be some two dozen meters (beyond which point aiming becomes too difficult), while the range of a melee attack is how far you can reach with a sword.
Third assumption is that combatants behave in accordance with their desires, goals and morale, and make decisions based on the information available to them. In particular, this means there is no general “aggro” mechanic built into the rules and made available to all melee fighters.
Fourth assumption is that we are dealing with the low or low-mid level of optimization on behalf of the respective combat parties. At higher levels of optimization, a lot of systems can be bound into a pretzel, completely changing all sorts of dynamics, and so I don’t think it’s very instructive to study them. This should also let us better represent dynamics found at an “average” gaming table.
These assumptions are very general, and I believe are fulfilled by most TTRPGs currently on the market. Section 4 will deal with scenarios where they may be violated, and what the consequences of that would be.
2. Advantages of ranged weaponry
With these assumptions in place, we can pretty easily demonstrate that there tends to be a host of systemic advantages possessed by ranged attacks regardless of the specifics of any individual TTRPG system. The cause of this is a single limitation, and its indirect effects: in order to attack in melee, you have to physically come into contact with your enemy.
2.1. Threat radii
First of all, consider a situation where one combatant would like to harm another. There are very many ways they can do this, such as with melee or ranged attacks, spells, by summoning monsters, and so on. Because we are talking in generalities, we can abstract all those abilities into the concept of “threat radii”.
With relatively few exceptions, every method of attack available to a combatant will have a certain maximum distance at which it could be utilized. This distance is what I call a “threat radius”. If a combatant has multiple methods of attack, then we can imagine them being surrounded by concentric threat radii. When the threat radii of several nearby combatants overlap, I will term it the “threat cloud”.
Threat radius is a very abstract model. It makes no mention of scale, so you can use it for tactical, strategic, or even global planning. What counts as an “attack” is likewise deliberately abstract - for example, if some combatants have “dug into” a position and trapped the area around it, then we can consider their traps as yet another threat radius. Likewise, I think we can easily expand the idea to cover various area buffs provided by your allies.
When it comes to melee attacks, threat radius can be defined in two ways. The first of them is the “direct threat radius”: how far you can attack without moving around, which is only as far as your arms can stretch. The second one is the “indirect threat radius”, which is equal to how far a melee combatant can move in a single “round” (i.e. logical period of time) of combat in order to strike someone. This latter definition will be discussed in a later section.
Small size of the direct threat radius of melee attacks has two consequences. First of all, if you want to attack an enemy - any enemy - you have to pierce into their threat cloud. The reverse is likewise true.
This means that where a ranged attacker may be able to stay out of some threat radii - they have no need to approach closer than the range of their attacks - a melee attacker has to cross through every single threat radius. This inherently puts them at greater risk.

This problem is amplified when you consider groups of combatants. By crossing into melee range, you are not only entering every threat radius of your target - you are probably also entering most threat radii of your other opponents (who are likely grouped up to support one another) and leaving the threat radii of your allies.
2.2. Threatened area
At first, you may think that a threat radius is only good if your enemy is inside of it. But this is not quite correct: in fact, the size of your threat radius is important even if no enemies are currently inside of it. This is because your enemies will try to stay out of your threatened area, so that they would not be attacked; therefore, you can “deny” a large area to your enemies if your threat radius is likewise large.
This denial is not perfect: enemies are not actually prevented from entering the area, but are simply making a strategic choice not to do so. If the benefit from entering becomes larger than the detriment from doing so, then this denial will stop functioning. Threat “pushes” enemies away, but not with infinite force.
Now consider how this combines with melee attacks requiring you to pierce deep into the threat cloud of your enemies. If the danger of entering a threat radius is sufficiently high, then it can “shield” other enemies within that area from your attacks. This effect is much weaker for ranged attacks: denying an area is not effective if a combatant does not have to cross into it to perform their function.

As I have mentioned in the previous section, one of the ways of defining a threat radius for a melee attack is the “indirect threat radius”: how far you can move and then make an attack (e.g. by charging at the enemy). This sort of threat radius can be used for area denial.
Compared to ranged attacks, this is lacking in several ways. First of all, the size of this area will tend to be smaller than the radius of an equivalent area covered by a ranged combatant: they can move around too, and ranged weapons tend to have very large ranges compared to movement. Secondly, after a melee combatant becomes engaged in combat, their ability to project threat is all but gone because of difficulties inherent in disengaging from melee combat or switching enemies.
Melee attacks are therefore both more vulnerable to these area-denial effects and less capable of denying an area on their own.
2.3. Asymmetric terrain inaccessibility
Of course, threatening an area isn’t the only way to effectively prevent melee attacks. If a melee character physically cannot get into melee range, then of course they could not attack anyone.
This tends to be a fairly common occurrence. For example, any of the following may completely or partially disable a melee character:
Impassable terrain (e.g. streams or chasms)
Walls (e.g. a chain fence)
“Difficult terrain” - any terrain which slows down movement (slippery floors, caltrops, etc)
Flying enemies, if the character cannot fly
Elevation (e.g. enemies shooting down from a high building)
Of course, a ranged character is not hampered in the same way.

This principle has a secondary effect. Because ranged combatants are not hampered by these problems in the same way, they can deliberately create hampering terrain features. This is especially potent if an entire combat group is composed out of ranged combatants: because they do not have to worry about their own melee allies, they can modify terrain in ways which completely shut down all melee attacks.
2.4. Kiting & walling
In the previous sections, only melee combatants were moving around, but of course ranged combatants can move too. This allows them to utilize a very powerful technique: kiting.
Kiting is, in truth, very simple: you attack your enemy from range, and whenever they get too close to you, you run away. If they try to run away, you chase them down. If your enemy is slower than you, and their threat range is smaller than yours, you can destroy them while staying completely safe at all times. Similarly to terrain modification, kiting works best if your entire group is composed out of ranged combatants.

Kiting works very well as a fallback strategy. For example, imagine a fortified position which is held by an enemy group. Once you attack it, enemies can either stay put (and die) or march out to chase you off (and be kited, and die). In either case, you do not have to fight on the ground your enemy prepared.
Now consider a fight between a melee and a ranged combatant. Assuming the ranged combatant can’t win before the melee combatant reaches them, it’s pretty clear that speed becomes the deciding factor: either the melee combatant can close into melee range, or the ranged one is able to kite them to death.
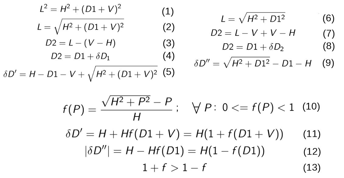
Let’s make this situation more interesting, and give both of the characters an ability to block movement by summoning a big wall. Who benefits more from this ability? The melee combatant could use it to “box in” the ranged combatant and close in on them faster, while the ranged combatant could use it to keep the melee one at range, even if they have an equal or greater speed.
To figure this out, let’s set up a model experiment. One combatant (chaser) will be chasing another (kiter) over a featureless white plane, with their speeds being equal. Then, one of them will summon a flat impassable wall in front of the other. After a round (some logical amount of time) of running we can analyze how the distance between the combatants changed. When the kiter is summoning the wall, it will increase; and when the chaser is summoning it, it will decrease. By comparing the magnitude of this change, we can figure out who benefits more from terrain modification abilities.


The answer is that the retreating combatant always benefits more from terrain modification abilities. This is thus yet another advantage which synergizes well with kiting.
As we can see, kiting is a powerful technique reserved for ranged characters. When it works, it can allow ranged characters to destroy encounters with little to no effort.
2.5. Tactical retreats
Kiting is not only useful as a safe way of eliminating enemies. Approaching combat encounters with kiting in mind also makes fleeing easier, if you realize that things are going south. Regardless of how your party is built, this will probably happen sooner or later, so keeping it in mind as a possibility is key.
Melee combatants face two challenges when attempting to flee. First of all, by virtue of being in melee, they are vulnerable to being surrounded by enemies, and prevented from running away.

Secondly, if a melee combatant is caught, or knocked out, or paralyzed, or simply unable to exit melee combat for whatever reason, then retrieving them becomes a big issue for other combatants because it necessitates getting closer to their enemies. This risks causing a cascade of failures, as enemies focus on a smaller number of combatants in melee, killing them before they can retreat. Ranged combatants generally have a much easier time with this maneuver, by virtue of starting out further from the enemies, granting them crucial lead time.

In a way, ranged attacks can be seen to follow a simple flowchart. If your enemies are staying put, you destroy them from range; if they are retreating, you either ignore them or chase them down; and if they try to advance on you, you either kite them or run away. In all cases, you will face less risk than a melee combatant.
2.6. Stealth & Sniping
Kiting, as a strategy, assumes that you keep the attention of your opponent, who continues to chase you. Another approach is to make your opponent lose track of you, then attack them from a new position. I would call this “sniping”. Case where your opponent doesn’t even realize where they are being attacked from is a subset of this approach: your new position is identical to your last one.
After enemies lose track of you, they will be forced to search through the entire area where you might be in order to find you again. This area grows over time: if it takes enemies 10 seconds longer to reach your previous position, that’s 10 more seconds you could have used to get away. Because of this, sniping benefits a great deal from high movement speed and larger initial attack range. Keep in mind that while the distance from your original shooting position grows linearly as you increase speed, the area the enemy has to search through grows quadratically (because they have to search through an area of a “circle” around your original position, which has an area of πr^2). Doubling the range on your attack would quadruple the difficulty of finding you afterwards.
Melee attacks cannot perform this strategy except in very niche circumstances (easy availability of invisibility, enemies being separated from one another, etc), because the area where you might be after fleeing from a melee attack is very small.
2.7. Area of effect attacks
In TTRPGs, it is fairly typical to see area of effect attacks. Let’s imagine the simplest case - an attack which damages anyone in a circle of a specific radius, with the originator of the attack deciding on where to place the center of the circle.

Typically, you would like to avoid hitting your allies with attacks. If some of your allies fight in melee, then this would be difficult; in fact, there may be no way to place an AoE which does not include them in the area. On the other hand, if your entire combatant group is ranged, then your use of AoEs is completely unconstrained.
3. False strengths of melee combat
Having discussed the systemic advantages of ranged combat, it is important to discuss some common myths about the “strengths” of melee combat.
3.1. “Being a tank”
One of the most common myths about TTRPG party composition is the necessity of having a “tank”. This idea comes from video games, specifically MMORPGs, even more specifically World of Warcraft, where people in a party typically have three roles - “DPS” (acronym, damage per second, dedicated damage dealer), “healer” and “tank”. In this triangle, the tank draws the attention of enemies (called “aggro” for aggression) away from their teammates, and has abilities which allow them to survive a lot of punishment. Some people believe that TTRPGs behave in the same way, and claim that parties need this “tank” - who is traditionally a melee combatant - in order to perform effectively.
Unfortunately, this simply does not work in TTRPGs. I have never heard of a single TTRPG which included proper aggro mechanics; at best, very rarely, you may see an ability which makes it disadvantageous to attack people other than the “tank”. This means your enemies are actually completely free to attack whomever they like; in fact, this is one of the core assumptions I mentioned at the start of this article. With nothing forcing your enemies into attacking the so-called “tank”, they simply cannot do their job of protecting their teammates unless the enemies - for some reason - cooperate with this strategy. Obviously, if your TTRPG system of choice includes aggro mechanics, then this logic goes the other way.
In some cases this may be reasonable - for example, if a “tank” is blocking a narrow hallway - but these rare cases simply cannot compensate for the systemic deficiencies in melee combat.
I have previously mentioned a different way of looking at party tactics in Pathfinder - the so-called Forge of Combat. Naturally, that analysis is primarily focused on Pathfinder, as well as other TTRPGs built on the same principles, such as DnD; but the overall principle that TTRPGs do not have tanks remains true.
There is one important caveat I have to mention. Some GMs, particularly when running “dumb” enemies (e.g. undead) implicitly “simulate” aggro mechanics by making the enemies attack the closest person to them. In this situation, the usefulness of melee combat will start to hinge on how it affects the survivability of combatants, which would depend heavily on the specifics of the rule system.
3.2. No ammunition / resource drain
Another common claim is that melee combat does not consume resources - you can swing a sword as many times as you like, but you will eventually run out of arrows or spells.
While it’s hard to make any confident claims regarding resource expenditure for all TTRPG systems out there, one thing is shared in common between all of them. Consider the constraints under which the game designers are operating. Their player base is probably going to be split between those who prefer melee combat and those who do not. This means they will likely want to make both types of play styles viable, and not too frustrating to play. There are two obvious choices for how to do that:
Making it easy to invest into both melee and ranged skills, such that once a ranged combatant does run out of ammunition, they don’t feel useless.
Making ammunition relatively easy to access
This theoretical argument seems to pan out in practice: ammunition has not been a limiting concern in any TTRPG I have played so far.
Finally, it must be pointed out that melee combatants do have a resource: their health, and access to healing. You cannot swing a sword if you are bleeding out on the ground. How quickly health runs out would depend on your system of choice, but given the systemic issues mentioned above, we know that melee combatants will be exposed to more risk from the outset.
4. Actual strengths of melee combat, or assumption breaks
Of course, these systemic advantages afforded to ranged attacks do not always apply. There are situations - some of them quite common, in fact - which modify one or more of the core assumptions of combat, and in return, mitigate or invert the aforementioned imbalances.
4.1. Close quarters combat
Ranged combat presumes that you can actually engage your enemies at range; if this is impossible because long-ranged sight lines are blocked, then ranged combat loses a lot of its advantages. A typical example of this situation is a fight which happens inside of a building.
In such a situation, advantages and disadvantages of ranged combat would heavily depend on the details of the system you are playing, such as wherever you can shoot in melee, how difficult it is to disengage from it, and how much more protected a melee combatant may be. Other advantages - such as the ease of using area of effect spells - should still remain.
For largely the same reasons as I have mentioned in section 3.2, many TTRPG systems will include ways for a ranged attacker to remain effective in melee. For example, DnD 3.5e allowed you to take a “5ft step” away from an opponent for free without provoking attacks, allowing you to shoot at them safely from 5 feet away; DnD 5e, on the other hand, allows you to remove all detriments from using ranged weapons in melee with an easily accessible feat.
Consult the rulebooks specific to your RPG system for more information.
4.2. Zone-based combat
This one comes courtesy of the FATE RPG. In FATE, combat is split into “zones”, representing some narratively-appropriate areas of combat. In a given zone, any character can attack anyone else, ignoring intervening terrain of any kind. Additionally, any character can oppose the movement of any other character into another zone.
This radical rethinking of what it means to be “in combat” puts ranged and melee attackers on a more or less even level. If your TTRPG system uses something similar, feel free to ignore my analysis.
4.3. Limited map size
When I discussed tactics like kiting or sniping, there was an underlying assumption that the ranged person can always retreat - they do not run out of space. I believe that in most cases this is a reasonable assumption. For example, in a dungeon, you can simply walk back into the rooms you have cleared, or out of the dungeon altogether.
There is one sticking point here: your GM may not agree to this, and may try to claim that retreat is either impossible, or effectively means conceding your ability to enter the location again. This could be for various reasons.
First of all, they may believe this sort of tactic is “videogamey” or somehow “cheesing” the encounter. Personally, I don’t have a huge deal of empathy for this line of thought - in my opinion, people within the game world, similarly to real life, should try to act in ways that maximize their chances of victory. If you went back to the medieval ages, and told a knight that in the modern age an artillery battery could annihilate opponents hundreds of kilometers away with the press of a button, they may find it to be “cheesing” or “dishonorable”; but in point of fact this strategy works. There is absolutely nothing physically preventing kiting from working; in fact, to me this seems like a fairly normal skirmishing tactic, except done against dumber enemies.
Secondly, GM may be working with a map of a specific size. This is fairly typical on virtual tabletop: the map file is an image, and going “outside” of its boundaries is not usually seen as an option. The GM may be uncomfortable at the prospect, and instinctively try to shut down the idea; but this is a problem of Gm improvisation, not kiting.
In either case, if your GM does run maps of a limited size, then ranged tactics lose a lot of their relative advantages.
4.5. Mechanical advantages
Game designers are often aware of the systemic advantages of ranged weaponry, and try to compensate. The shape this takes can vary wildly, but increases to damage output or survivability tend to be common.
In some cases these sorts of improvements may be significant enough to overcome the inherent advantages of ranged attacks described in this article. In other cases, a significant degree of system mastery is required in order to properly realize the power inherent within the mechanics. In either case, not much can be said about this topic in general.
4.6. Ranged damage immunity
Another obvious way to level the playing field between melee and ranged attacks is by including ways of resisting ranged attacks which do not affect melee ones. For example, the famous novel series Dune includes shields which block ranged weaponry but can be bypassed by slow-moving bladed weapons.
While this would in fact throw a wrench in this argument, as far as I can tell this class of abilities is not widespread in TTRPGs. The only examples I can think of off the top of my head are the 3.5 DnD spell “Protection from Arrows” and the Warhammer Fantasy spell “Arrow Shield”. The former confers an easily-bypassed source of damage reduction, while the latter grants total immunity against arrows (but not bullets) for only a couple rounds, while being a rarely seen spell.
In general, justifying the existence of these abilities will tend to be difficult, especially in settings which include guns, whose deadliness is well established by various pieces of media.
4.7. Enemies with area of effect attacks
As I have mentioned in section 2.6, entering melee range makes it harder to place area of effect attacks. Of course, enemies can use AoEs too, so we can say that not entering melee range makes it easier for your enemies to nuke the whole party.
While this is undoubtedly true, this is a less important principle than it may seem. As I have demonstrated in section 2.7, it is possible to place area of effect attacks when your allies are in melee range; it is just harder, and tends to affect fewer enemies. This means that if the melee characters contact your enemies on the outside of their group, they aren’t actually safe from AoE attacks. In order to properly protect yourself, you would have to get into the enemy ranks, which tends to be difficult.
Furthermore, ranged characters can compensate for AoE attacks by spreading out: because of their greater threat radius, there is no need for them all to bunch up in one place. This means that in many circumstances, there will be no actual safety advantage to closing into melee.
5. Summary & Lessons
What can we learn from this?
Ability to get into and out of melee range is going to be crucial for the effectiveness of melee combatants across radically different TTRPG systems, due to systemic effects having to do with geometry of 3D space. This means that as a player, methods of closing in on your opponents should be prioritized to the same extent as abilities which would increase your survivability or damage. Similarly, negating these abilities to your enemies can completely shut down melee combatants, often with minimal resource expenditure. If you are building a party, consider the synergies inherent to making an entire party of ranged attackers; this unlocks several extremely powerful combat tactics, which would otherwise remain out of your reach.
As a game designer, you should figure out how to provide reliable access to these abilities. If you want to emphasize melee combat, then you should also consider ways to defend against ranged weaponry.
If you are looking for other posts on my blog, check out this list of all other posts, and if you enjoy what I write, you can subscribe to receive updates by email:
Most of the art pieces in this article have been made with the help of AI-generated art.


By 'Zone-Based Combat', do you mean one-dimensional battlespace? I know Miserable Secrets uses that, but I've never played FATE.
Incredibly thoughtful article! Congratulations!